恒功率电伴热带为什么要用温度控制器?
→ 详情
家用电伴热带的的耗电量大吗?
电伴热带外护套出现破损怎么办?
为什么电伴热带是扁平形状的?
根据发热元件及原理分辨电伴热的四种分类
埋地式原油集输管道电伴热的计算
输水稳压塔管道和容器的电伴热计算
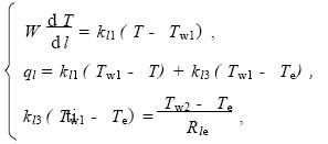
油井井筒两种电伴热系统温度的计算
电伴热常见规格及适用场所说明
Copyright © 2024 英国上市公司官网365(集团·认证平台)Platinum China 34118102000484号
皖ICP备14001022号-1 XML